226: 名無しさん@おーぷん 2015/10/01(木)20:07:32 ID:Sew
なぁ聞いてくれ
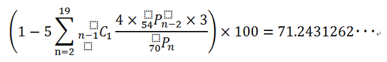
腕試しの里の超難が毎回、禍々しい敵のせいで全然クリアできなくて、
同種の敵札を2回引かずにボスに行ける確率を計算したんだよ
そしたら、約71.2%の確率で禍々しい敵に遭遇することなく、
ボスに辿りつけるって出たんだけど、みんなのところはどう?
自分の運がなさ過ぎなのか、運営が敵札引く確率を上げているのか……
ちなみに計算式は画像で添付した
間違いがあったら指摘してくれ……
全然クリアできない

腕試しの里の超難が毎回、禍々しい敵のせいで全然クリアできなくて、
同種の敵札を2回引かずにボスに行ける確率を計算したんだよ
そしたら、約71.2%の確率で禍々しい敵に遭遇することなく、
ボスに辿りつけるって出たんだけど、みんなのところはどう?
自分の運がなさ過ぎなのか、運営が敵札引く確率を上げているのか……
ちなみに計算式は画像で添付した
間違いがあったら指摘してくれ……
全然クリアできない
229: 名無しさん@おーぷん 2015/10/01(木)20:08:04 ID:3JS
>>226
すげえ
すげえ
230: 名無しさん@おーぷん 2015/10/01(木)20:08:35 ID:VmD
>>226
数字に弱くてさっぱりだが
その確率がおかしいということだけは言える
数字に弱くてさっぱりだが
その確率がおかしいということだけは言える
続きを読む
source : 刀剣乱舞速報 - とうらぶまとめ